當發生地震和火災時,樓梯是重要的緊急逃生豎向通道。樓梯的破壞會延誤人員的撤離及救援工作,從而導致嚴重傷亡。為了保證樓梯的正常工作,不僅要保證現澆樓梯結構的整體性能,還應避免樓梯受一些非結構部件脫落的堵塞。
1.地震時現澆樓梯對框架結構的整體影響
以8層兩側有兩樓梯的建筑為例,比較2種情況:有梯梁梯柱和無梯梁梯柱時樓梯對框架結構的整體影響,有梯梁梯柱時樓梯形成一一個更復雜的支撐體系。計算結果(見表1.表2)


由表1和表2可以看出,有無梯粱梯柱的樓梯對結構的整體影響不同,但都較大;有梯梁梯柱時,樓梯對框架結構的整體影響更大。
2.現澆樓梯對相連部件的影響
(1)現澆樓梯對結構角柱的影響:樓梯對多高層結構的底層角柱影響較大,通過計算對比,角柱的軸力增加1.142.5倍,柱配筋增加40%左右。
(2)現澆樓梯對梯柱的影響:經研究表明,7度和7度以上時梯柱較大拉力與地震作用的大小有較大的關系。實際工程中7度時梯柱較大拉力也有達到200KN,7度和7度以上時梯柱應按較大拉力配筋。
(3)現澆樓梯對梯梁的影響:在地震作用下,考慮樓梯參與整體結構工作后,梯梁在梯板的拉壓力作用下承受了雙向剪力,與通常不考慮樓梯參與整體結構工作的計算方法相比,梯梁中剪力值增加近3倍,且剪力分布也發生顯著改變。上下梯板交接處的梯梁中部和梯梁支座處均承受很大的剪力,很易發生剪扭破壞。同時在7度和7度以上地區,梯梁剪力和扭矩隨地震作用增大而增大,地震引起的剪扭起控制作用。因此,7度和7度以上時梯梁須考慮抗震計算和設計。
(4) 現澆樓梯對梯板的影響:在地震作用下,樓梯實際參與了主體結構工作,梯板具有類似斜撐的作用,地震下受到很大的拉壓軸力,尤其是底部幾層以通過有限元對梯板的分析可知:梯板的拉、壓應力為2.0MPa,遠大于樓層樓板的拉、壓應力0.3MPa左右的范圍,且隨著地震作用增加,地震引起的拉應力起控制作用,梯板構造鋼筋抵抗不了拉、壓應力。因此,7度和7度以上時, 梯板須按平均拉應力計算板鋼筋,按恒活載計算的鋼筋可能不夠。(5) 彈塑性分析表明,考慮樓梯參與整體結構受力后,結構的屈服機制( 見圖1) 因此,有必要采取其他措施,保證樓梯作為逃生通道的安全性。

3.減少地震力作用下現澆樓梯受力方法
由以上考慮現澆樓梯參與整體結構共同工作后的結構抗震分析可知,樓梯和樓梯間框架柱的內力比不考慮樓梯參與整體結構共同工作分析方法所得到的內力顯著增大,這一方面使得樓梯的設計難度增大,另一方面樓梯間會成為地震中首先.發生破壞的部位。
與此同時,框架部分的內力將會比不考慮樓梯參與整體結構共同工作分析方法所得到的內力有所減小,這又會使得框架部分的抗震安全性比以往不考慮樓梯參與整體結構共同工作的設計結果有所降低。為解決這個兩難問題,減輕樓梯震害,確保樓梯在地震中安全與通暢,可采用2種方法:
(1)抗的方法一在樓梯間采取增大主體結構側向剛度的措施,如增加剪力墻,這樣可以使得樓梯間的地震力主要由剪力墻承擔,使得樓梯構件的受力降低,再采取加強樓梯的構造措施,確保樓梯在地震中的安全和暢通,此時結構模型成為框架一剪力墻結構或少墻框架結構,這也會在整體上增強結構的抗震能力。但此時需注意,樓梯間依然是結構抗震的第-道防線,其破壞后框架部分的地震內力會增大, .因此,建議框架部分仍按不考慮樓梯參與整體結構共同工作分析方法所得到的內力進行設計。顯然,這樣的設計造價會比以往有顯著增加。
(2)放的方法一采取構造措施,斷開現澆樓梯與主體結構的連接,使樓梯不參與整體結構受力。這種措施不但能改 善樓梯受力狀態,還可以減少由樓梯引起的結構不規則和地震反應的不確定性。該方法的具體措施有2種方案,2種方案的上跑梯板在休息平臺處均設置隔離滑動層,與休息平臺隔離;不同之處在于,休息平臺較小時采用懸臂休息平臺,休息平臺較大時采用雙梯柱方案。隔離滑動層處鋼筋不連通,為減少摩擦,水平縫處可采用聚四氟乙烯板,或采用柔性材料(如聚苯板)、2層油氈;也可直接將隔離滑動層設置為施工冷縫(但這種做法摩擦力較大)。這種方法可基本消除樓梯參與整體結構的共同工作,使樓梯本身也成為非抗側力構件,故可不考慮抗震要求,在結構抗震分析計算中也不需考慮其剛度影響,可仍按傳統的方法進行樓梯部分的設計。
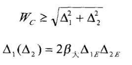
大震作用下水平位移的確定。參考相關規定的有關公式,梯板和平臺板之間防震縫為:

大震作用與小震作用之比(見表3)。

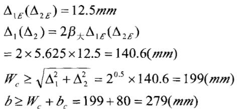
休息平臺板一側較小支座寬度為:

式中:
梯板跨度方向防震縫寬度;
梯板較小支撐長度,取。
假設某工程抗震設防烈度為8 (0. 20g)度,梯板和休息板之間跨度方向在小震下的彈性水平位移為12. 5mm。
那么梯板在大震作用下較大水平支承長度b為:

4.總結
(1)結構設計應優先采用第2種方法,使現澆樓梯不參與整體結構受力。同時應采用如下構造措施:樓梯間兩側采用輕質砌體填充墻時,應設置水平間距<2. 0m的構造柱,設置豎向間距<1.0m的水平構造連接筋,樓梯板不應嵌砌入填充墻,框架結構樓梯間首層外門兩側宜設置構造柱以固定門框。
(2)如果按傳統方法設置樓梯,應考慮樓梯參與整體結構共同工作進行結構分析,確定樓梯的受力;同時還應按無樓梯情況進行框架結構受力分析,確定框架部分的受力。在樓梯配筋設計時,梯板應采用雙層配筋,以承受拉力;梯梁的抗剪扭鋼筋應增強;梯柱應按抗彎抗剪計算,并增強抗剪能力。
(3)樓梯間在結構平面中不要靠近端部,避免對整體結構產生扭轉效應。

當前位置: